| การเกิดลึกจริงลึกปรากฎ
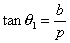
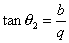
เมื่อเรามองเห็นวัตถุที่อยู่ในน้ำจะมองเห็นเหมือนตื้นขึ้นมาจากที่เป็นจริง เนื่องจากการเกิดการหักเหในน้ำดังรูป เราเห็นรังสีสองรังสี คือ มาจากจุด O และเสมือนว่ามาจากจุด I ดังนั้นผู้สังเกตจะเห็นภาพเสมือนที่ I ค่าอัตราส่วน q ต่อ p
อาจคำนวณได้ดังนี้ จากรูป และ
เมื่อ เล็กมาก
ดังนั้น  จากกฎของสเนลล์
เมื่อ n1 เป็นดรรชนีหักเหของน้ำและ n2 ดัชนีหักเหของอากาศ จากสมการจะได้
เมื่อ n1=4/3 และ n2 =1 จะได้ว่าวัตถุที่อยู่ในน้ำจะปรากฏแก่สายตาเป็น 3/4 เท่าของที่ความลึกจริง
|