หัวข้อเรื่อง
กฏการหักเห

มุมวิกฤติและ
การสะท้อนกลับหมด


เลนส์

เลนส์เว้า

เลนส์นูน

สรุปภาพจากเลนส์

ลึกจริงลึกปรากฎ

หัวข้อย่อย
 
มุมวิกฤติและมุมสะท้อนกลับหมด

           เมื่อแสงเดินทางจากตัวกลางที่มีดรรขนีหักเหมากไปยังตัวกลางที่มีดรรชนีหักเหน้อยรังสีหักเหจะเบนออกจากเส้นแนวฉาก กรณีที่มุมหักเห เป็น90องศารังสีหักเหจะขนานกับผิวรอยต่อเราเรียกมุมตกกระทบนี้ว่ามุมวิกฤติ
ภาพแสดงการการหักเหของแสงเมื่อแสงเดินทางจากตัวกลางที่มีค่าดรรชนีหักเหน้อยไปตัวกลางที่มีค่าดรรชนีหักเหมาก รังสีเส้นที่1เมื่อแสงตกตั้งฉากกับผิวรอยต่อ แสงจะไม่หักเห รังสีเส้นที่2 และ3 เมื่อรังสีตกทำมุมกับเส้นแนวฉากรังสีจะเบนออกจากเส้นแนวฉาก(มุมหักเหมากกว่ามุมตกกระทบ) จนกระทั่งมุมหักเห ขนานกับผิวรอยต่อเราเรียกมุมตกกระทบที่ทำให้มุมหักเหเป็น90 องศา ว่ามุมวิกฤติ (รังสีเส้นที่4)และถ้ามุมตกกระทบมากกว่ามุมวิกฤติ รังสีจะสะท้อนกลับมาในตัวกลางดิม(รังสีเส้นที่5)
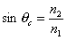
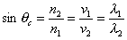
           การหามุมวิกฤตเราใช้Snell’s law เช่นเดิม แต่มุมหักเหเป็น90องศา

จาก

ซึ่งจากความสัมพันธ์อาจเขียนได้ดังนี้

           การสะท้อนกลับหมดหมายถึง การที่มุมตกกระทบมีค่ามากกว่ามุมวิกฤตทำให้ไม่มีรังสีหักเห จะมีแต่รังสีสะท้อนเท่านั้นการเกิดการสะท้อนกลับหมดได้แสงต้องเดินทางจากตังกลางที่มีดัชนีหักเหมาก ไปยังตัวกลางที่มีดรรชนีหักเหน้อยในทางคำนวณถ้าโจทย์กล่าวถึงการสะท้อนกลับหมดแสดงว่าแสงเดินทาง จากตัวกลางที่มีดรรชนีหักเหมากไปยังตัวกลางที่มีดรรชนีหักเหน้อย ตามรูปด้านบนคือรังสีเส้นที่4
           การจะหามุมที่สะท้อนกลับหมดต้องหามุมวิกฤตก่อนแล้วสรุปว่ามุมตกกระทบที่จะทำให้เกิด การสะท้อนกลับหมดได้ต้องมีค่ามากกว่ามุมวิกฤตเราสามารถนำหลักการสะท้อนกลับหมดของแสงไปใช้ได้ หลายๆอย่าง