| เลนส์
ลำแสงขนานอาจทำให้มารวมกันที่จุดรวมแสงได้โดยการหักเห
ถ้าหากผิวตัวกลางนั้นมีความโค้ง ดังรูป เมื่อมีแสงขนานมาตกกระทบผิวโค้งของแท่งแก้วจะมีการหักเหไปรวมกันที่จุด
F จุด F นี้เรียกว่า จุดโฟกัส เมื่อแท่งแก้วมีผิวโค้งทั้งสองด้านเรียกว่า
เลนส์ ( lens ) โดยการใช้กฎของสเนลล์ เราอาจหามุมที่เบน ไปของทั้งสองผิวได้
แต่เพื่อความสะดวกจะพูดถึงในกรณีของเลนส์บาง ซึ่งมีที่ใช้ประโยชน์มากมาย
เลนส์บางนั้น ความหนาของเลนส์น้อยมากเมื่อเทียบกับรัศมีความโค้งและ
ทางยาวโฟกัสของเลนส์นั้นเลนส์จะมีรูปร่างต่างๆกัน เลนส์ที่ตรงกลางหนากว่าด้านริมเป็น เลนส์นูน
รวมแสง และเลนส์ที่ตรงส่วนกลางบางกว่าส่วนริมเป็น เลนส์เว้า กระจายแสง

เราจะหาความสัมพันธ์ของระยะภาพและระยะวัตถุที่เกิดจากเลนส์บางได้โดยอาศัยรูปด้านบน
และ
.............(1)
.............(2)
เมื่อมุมตกเล็กมากค่าไซน์( sin )ของมุมตกจะมีค่าเท่ากับมุมตกนั้น ใช้กฎของสเนลล์ในการหักเหสองครั้ง
จะได้
และ
.............(3)
แต่มุมเป็นมุมเล็ก จึงอาจเขียนได้ว่า
และ 
.............(4)
จากสมการ (1) และ (3) จะได้ 
จากสมการ (2 )จะได้ 
ดังนั้น 
จากสมการ (4) เมื่อ h~h จะได้ว่า
...............(5)
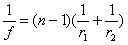
ความสัมพันธ์ของระยะวัตถุระยะภาพและรัศมีความโค้งสมการ (5) อาจเขียนอีกแบบหนึ่งได้
โดยอาศัยสมการ (6) ได้ว่า
...............(6)
ดังนั้น
...............(7)
สมการ (7) นี้เรียกว่า สมการช่างทำเลนส์
จากสมการนี้ก็สามารถออกแบบเลนส์มีทางยาวโฟกัสต่างๆกันได้
ตัวอย่าง
เลนส์อันหนึ่งมีค่าดรรชนีหักเห 1.5 มีทางยาวโฟกัส 30 เซนติเมตรรัศมีความโค้งของเลนส์จะมีค่าใดได้บ้าง
วิธีทำ จากสมการ (7)  
เลือกค่าต่างๆของ r1 และ r2 ได้ดังนี้

ดังนั้น r1 = r2 = 30 เซนติเมตร
r1 = 22.5 เซนติเมตร r2 = 45 เซนติเมตร
r1 = 18 เซนติเมตร r2 = 90 เซนติเมตร
r1 = 15 เซนติเมตร r2 = เซนติเมตร
r1 = 5 เซนติเมตร r2
= -7.5 เซนติเมตร
ส่วนเลนส์เว้าเป็นเลนส์กระจายแสง ความยาวโฟกัสของเลนส์เว้าหาได้จาก เมื่อแสงขนานตกกระทบผิวเลนส์และเสมือนว่าไปรวมกันที่จุดรวมแสง
ส่วนสมการของเลนส์เว้าเช่นเดียวกับสมการ (7) แต่รัศมีความโค้งเป็นลบ ดังนั้นความยาวโฟกัสของเลนส์เว้า
จึงเป็นลบด้วย
กำลังขยายของเลนส์ 
|