หัวข้อเรื่อง
กฎการสะท้อน

กระจกเงาราบ

กระจกโค้ง

กระจกโค้งเว้า

กระจกโค้งนูน

การหาตำแหน่งภาพ

สรุปการเกิดภาพจากกระจก

หัวข้อย่อย
 

       ในกรณีที่วัตถุมีความสูงเราอาจใช้วิธีเดียวกับกรณีข้างต้นเพื่อหาตำแหน่งและขนาดของภาพ ดังนี้ ลากเส้นจากQ ไปยังกระจกให้ตั้งฉาก กับกระจก มันจะสะท้อนกลับในทิศทางเดิม (ถือเป็นเส้นแนวฉาก) ลากเส้นฉากจากปลาย P ของวัตถุไปยังเส้นแนวฉาก QB แล้วสะท้อนจาก PA เป็นเส้นแนวฉาก QA ให้ตกกระทบและสะท้อน จากนั้นต่อแนวรังสีทุกเส้นไปด้านหลังกระจกจะได้ตำแหน่งและขนาดของภาพ
        
       จากรูป      
                   
                   
                   
                   
          เพราะ
ดังนั้น นั่นคือ ความสูงของภาพเท่ากับความสูงของวัตถุ
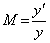
       เรานิยามกำลังขยาย M (lateral magnification)ไว้ว่าเป็นอัตราส่วนของความสูงของภาพ กับความสูงของวัตถุ     
      ในกรณีกระจกราบนี้    
       นั่นคือกำลังขยายคือ 1 ถ้าเราลองพิจารณาวัตถ ุ 3 มิติโดยวิธีเดิมเราจะพบว่าขนาดของภาพเท่ากับขนาดของวัตถุและ จะกลับทิศทางจากขวาไปซ้าย